Flood Susceptibility

The Random Forest Model

The Random Forest (RF) model was adopted to map flood susceptibility across St. Thomas. The training data, consisting of 14 flood-conditioning features, was standardized through a pipeline and input into an RF classifier, with its performance first assessed using a held-out test set. To improve stability and reduce overfitting, model performance was further evaluated through 5-fold stratified cross-validation using ROC–AUC as the scoring metric. A GridSearchCV procedure was implemented to optimize hyperparameters across a search space including the number of trees (50–150), maximum depth (8–None), and minimum samples required for node splits and leaf nodes. The best-performing configuration—identified through cross-validated AUC—included 100 trees, a maximum depth of 10, a minimum of 5 samples to split a node, and 3 samples per leaf, with class weights balanced to address sample imbalance.

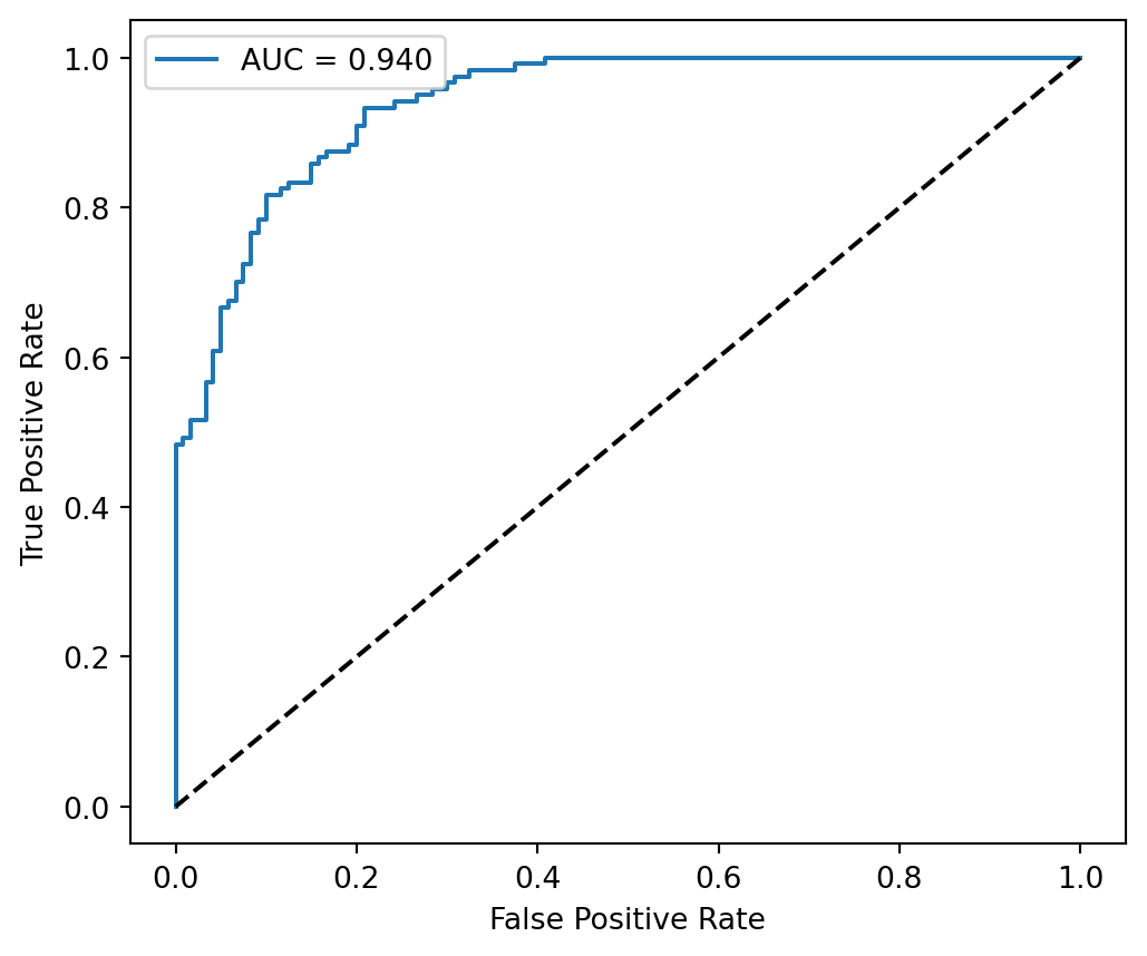
Using this optimized model, the RF classifier achieved strong predictive performance (accuracy = 0.85; AUC = 0.94). Class-level precision, recall, and F1 scores remained consistently high for both flooded and non-flooded samples, ranging from 0.82 to 0.88. The ROC curve demonstrates robust discrimination across false-positive rates, confirming the model’s reliability. Feature importance rankings indicate that elevation is the dominant predictor, followed by slope, distance to ghuts, tsunami exposure, and forest cover, while remaining land-cover classes contribute smaller but meaningful signals.

Code
import matplotlib.pyplot as plt
import matplotlib.patches as mpatches
import numpy as np
from pathlib import Path
import geopandas as gpd

y_pred = best_model.predict(X_test)
y_proba = best_model.predict_proba(X_test)[:, 1]

fpr, tpr, thr = roc_curve(y_test, y_proba)

plt.figure(figsize=(6, 5))
plt.plot(fpr, tpr, label=f"AUC = {roc_auc_score(y_test, y_proba):.3f}")
plt.plot([0, 1], [0, 1], "k--")
plt.xlabel("False Positive Rate")
plt.ylabel("True Positive Rate")
plt.legend()
plt.show()

Figure 1: ROC – Flood Susceptibility Model

Figure 1: ROC – Flood Susceptibility Model
Code
import matplotlib.pyplot as plt
import matplotlib.patches as mpatches
import numpy as np
from pathlib import Path
import geopandas as gpd

rf_model = best_model.named_steps["randomforestclassifier"]
importance = pd.DataFrame({
    "Feature": feature_cols,
    "Importance": rf_model.feature_importances_
}).sort_values("Importance", ascending=False)

# Create chart
importance = pd.DataFrame({
    "Feature": feature_cols,
    "Importance": rf_model.feature_importances_
}).sort_values("Importance", ascending=False)

ax = importance.sort_values("Importance", ascending=True).plot.barh(
    x="Feature",
    y="Importance",
    figsize=(6, 8),
    legend=False  # no legend by default
)

# Increase font sizes
ax.set_xlabel("Importance", fontsize=12)
ax.set_ylabel("Feature", fontsize=12)
ax.tick_params(axis="both", labelsize=11)

plt.show()

Figure 2: Feature Importance

Figure 2: Feature Importance

The Flood Susceptibility

With the model validated, the trained RF classifier was applied to the full study area to generate a spatially continuous flood susceptibility map. The flood susceptibility in St Thomas shows a 100 m × 100 m flood susceptibility index ranging from 0.0 (purple, very low) to 1.0 (bright yellow, very high). Values above ~0.8 are concentrated along the coastal fringe, harbors, and embayed shorelines, indicating the most exposed zones. Mid-range values (~0.4–0.7) extend inland along primary drainage corridors. Interior uplands and ridges are dominated by low indices (<0.3), reflecting reduced ponding potential at higher elevations.

Code
import matplotlib.pyplot as plt
import numpy as np

# Mask NaNs
suscept_masked = np.ma.masked_invalid(suscept_arr)

fig, ax = plt.subplots(figsize=(10, 4))

# Dark purple background
fig.patch.set_facecolor("#2b005a")
ax.set_facecolor("#2b005a")

img = ax.imshow(
    suscept_masked,
    extent=(minx, maxx, miny, maxy),
    origin="upper",
    cmap="viridis",
    vmin=0,
    vmax=1,
    interpolation="nearest",
)

# Optional boundary overlay
boundary.boundary.plot(ax=ax, color="white", linewidth=1)

# Horizontal colorbar inset (bottom-left)
cax = ax.inset_axes([0.05, 0.08, 0.25, 0.06])  # [x, y, width, height] in axis fraction
cbar = fig.colorbar(img, cax=cax, orientation="horizontal")
cbar.ax.set_title("Susceptibility Index", fontsize=9, pad=4, color="white")
cbar.outline.set_linewidth(0)
cbar.ax.tick_params(size=0)
cbar.ax.xaxis.set_tick_params(pad=4, colors="white")

ax.set_axis_off()
plt.tight_layout()
plt.show()

Figure 3: Flood Susceptibility in St Thomas

Figure 3: Flood Susceptibility in St Thomas